二分法求方程的根
    
    
    
        
            发布时间 : 
        
    
    
        
        
        
            阅读 :
                
            
        
        
        
    
    
    
    
    
      
        1 算法思想
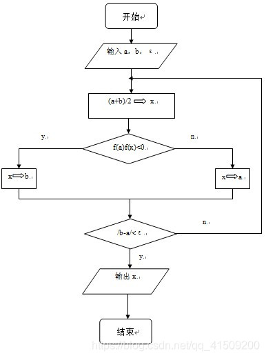
首先确定有根区间,将区间二等分,通过判断f(x)的符号,逐步将有根区间缩小,直至有根区间足够小,便可求出满足精度要求的近似值。
流程图如下

2 示例
2.1 代码
| 12
 3
 4
 5
 6
 7
 8
 9
 10
 11
 12
 13
 14
 15
 16
 17
 18
 19
 20
 21
 22
 23
 24
 25
 26
 27
 28
 
 | #include <iostream>#include <math.h>
 using namespace std;
 int main()
 {
 float exp(float x);
 float left, right, accuracy, mid;
 cout << "请输入区间左端点值、右端点值和精确度:" << endl;
 cin >> left >> right >> accuracy;
 while(fabs(right - left) >= accuracy)
 {
 mid = (left + right) / 2;
 if(exp(left) * exp(mid) < 0)
 {
 right = mid;
 }
 else
 {
 left = mid;
 }
 }
 cout << "满足要求的值是:" << mid << endl;
 return 0;
 }
 float exp(float x)
 {
 return x * x * x - x - 1;
 }
 
 | 
2.3 输出结果

      
       
 转载请注明来源,欢迎对文章中的引用来源进行考证,欢迎指出任何有错误或不够清晰的表达,可以邮件至 xingshuaikun@163.com。